Skip to content
Pega's Notes
Intergral
Initializing search
Pega's Notes
Welcome
Python Handouts
Python Handouts
Introduction to Programming Languages and Python
First Line of Code
Basic Terms
Values
Variables
Operators
Basic Function
Control Flow
More About If Statement
Code Readability
Lists
Advanced Function
Import Statement
Object-Oriented Programming
How to Use a Class
How to Create a Class
Use Processing.py to Build GUI Applications
AUR Notes
Algorithm Check List
Arch UEFI Install Notes
Arch Linux Timeshift
BTRFS Notes
Certbot Notes
Chinese Fonts in Wine
Default Group and Permission of a Directory
Docker Notes
Docker Swarm Notes
Enable MacOS 10.15 Catalina to Run Inside VirturalBox
FFMPEG Notes
Getting Java Testcases in repl.it
Girlfriend vs MacBook
Git Notes
GitHub双重验证后git push问题
Install Arch Linux
LUKS Notes
LVM Notes
Netlify Notes
Next.js Notes
Share a Terminal
Tensorflow Docker
安装Rime中文输入法
我的fish.config (bashrc)
用MkDocs从Markdown生成Blog
网页开发资源
Remarkloud
Remarkloud
Admin Settings
Architecture Overview
Resources
School
School
Chem 1E03
EMBER Chem
EMBER Chem
The Mole
10.Entropy and Gibbs Free Energy
11.Electrochemistry
The Ideal Gas Law
Electronic Structure
Periodic Properties
Bonding
Types of Reactions
Equilibrium
Acid and Bases
Thermochemistry
Naming Compounds
Lab Notes
Lab Notes
Experiment 2
Experiment 3
Experiment 4
Experiment 5
Introduction to Lab Simulations
Econ 1B03
Econ 1B03
Unit 1
Unit 10
Unit 11
Unit 12
Unit 13
Unit 2
Unit 3
Unit 4
Unit 5
Unit 6
Unit 7 & 8 Summary
Unit 7
Unit 8
Unit 9
Questions
Eng 1P13
Eng 1P13
Material Science
Portfolio
Portfolio
Project 1
Project 1
Summary
Skills
Design Process
Lecture Notes
Project 2
Project 2
Summary
Skills
Design Process
Project 3
Project 3
Summary
Skills
Design Process
Project 4
Project 4
Summary
Skills
Design Process
Environment Science 1C03
Environment Science 1C03
Module 2
Module 3
Math 1ZA3
Math 1ZA3
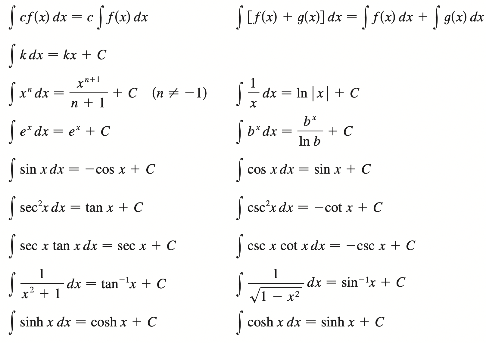
Intergral
Limits
Questions
Trigonometry
Math 1ZB3
Math 1ZB3
Derivative Rules
Math 1ZC3
Physics 12
Physics 12
Electricity Notes
Electromagnetism Notes
Momentum
Relativity
Wave
Physics 1D03
Physics 1D03
1D Kinematics
Questions
Physics 1E03
Intergral
¶
Last update:
November 14, 2021
Created:
November 9, 2021