Momentum¶

linear momentum unit: kg*m/s

energy unit: J




impulse unit: kg*m/s
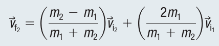
| elastic collision | inelastic collision | Formula | |
|---|---|---|---|
| conserve momentum | yes | yes | ![]() ![]() |
| conserve kinetic energy | yes | no | ![]() |








G = 6.67*10-11
Last update:
April 6, 2021
Created: March 31, 2021
Created: March 31, 2021


