Math 1ZB3
Surface area from function

for parametric curves:


9.5
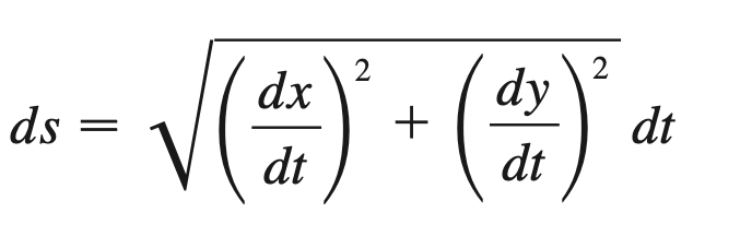
Length of curve

tangents for parametric curves

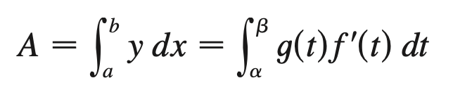
area under parametric curves

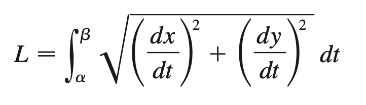
Length of parametric curves




(the reverse is not true)





11.7 is prabably important


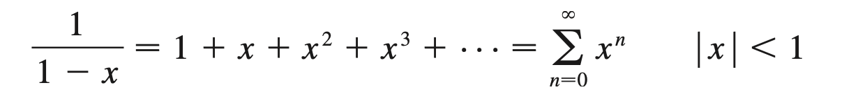
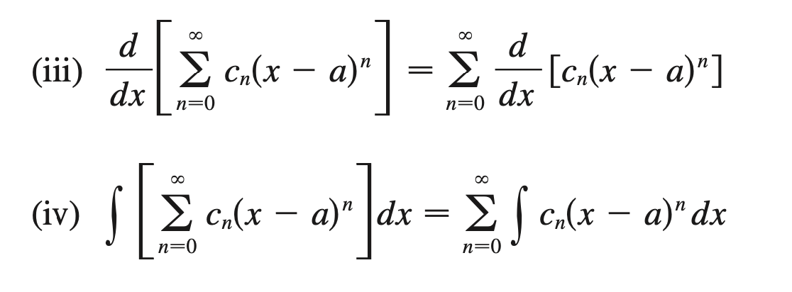
Number R is called the radius of convergence, when |x-a|=R, anything can happen
If R>0:

(After these operation radius of convergence doesnt change, but interval of convergence may change)




type 2 region:


f^{(3)}(x)
\sum^{3}_{n=0}2n = 2*0+2*1+2*2+2*3
Last update:
April 20, 2022
Created: April 20, 2022
Created: April 20, 2022